背景介绍
胃癌(GC)是世界上第五大常见恶性肿瘤,也是导致癌症死亡的第三大原因,尽管近来发病率处于平稳状态,但这种高死亡率仍在持续。胃癌1期的5年生存率在Ⅰ期大于90%,而Ⅳ期为15%。因此胃癌的早期诊断对于该病的治愈显得尤为重要。内窥镜检查结合活检样品的病理学诊断分析目前是GC诊断的金标准,但由于其高创伤性、高风险以及时间金钱成本较高,该诊断策略并不适合大规模的筛查。因此迫切需要寻找GC无创性诊断的相关生物标记物并改善该疾病的预后。
实验方法
在该研究中主要开展了一项病例对照研究,通过对早期GC患者以及健康对照(HC)的尿液样本进行分析。在372例患者的尿液样本中,282例年龄和性别相匹配的患者被随机分为三组:发现队列有18名患者;训练队列有176名患者,验证队列有88名患者。
实验结果
01

图1 研究流程图和定量质谱分析
a 匹配图;b 关于个体供体、样本池和TMT标记的信息;c 用于发现癌症生物标记物的高通量定量蛋白质组学平台;d 胃癌患者中异常表达的尿蛋白。质谱法、ELISA酶联免疫吸附试验、TMT串联质谱标记、GC胃癌、HC健康对照、HCs中IA期或IB期GC患者尿蛋白IA+IB/Ctrl比值、HCs中II期或者 III期的胃癌患者尿蛋白II + III/Ctrl比值。
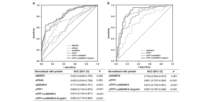
02

图2 接收机工作特性(ROC)曲线
a 训练队列,b 验证队列。ROC曲线从尿总蛋白的正常值中获得。
03

图3 性别特异性的尿液生物标志物组
a 男性队列,b 女性队列。按性别进行子集分析。ROC曲线从尿总蛋白的正常值中获得。
04

图4 I期胃癌早期检测
a 全部队列,b 男性队列,c 女性队列。ROC曲线从尿总蛋白的正常值中获得,以区分I期胃癌患者和健康对照组。
该研究发现:
|在综合定量蛋白质组学分析中确定的尿蛋白中,除幽门螺杆菌状态外,尿液中TFF1(uTFF1)和ADAM12(uADAM12)的水平是GC的重要独立诊断指标。
|在训练和验证队列中,结合了uTFF1,uADAM12和幽门螺杆菌的尿液生物标志物组可显着区分HC和GC患者。
|在对性别特异性生物标志物的分析中,该组合组显示出男性GC的AUC为0.858,而另一组合uTFF1,uBARD1和幽门螺杆菌也为女性GC提供了0.893的AUC。
|值得注意的是,每个小组甚至可以区分I期GC患者和HC患者(男性,AUC = 0.850;女性,AUC = 0.845)。
实验结论
该研究结果显示:新型尿蛋白生物标记物或可成为包括早期胃癌在内的无创性胃癌诊断的一个潜在的生物学靶标。
参考文献:
1. Ferlay, J., Soerjomataram, I., Dikshit, R., Eser, S., Mathers, C., Rebelo, M. et al. Cancer incidence and mortality worldwide: sources, methods and major patterns in GLOBOCAN 2012. Int. J. Cancer 136, E359–E386 (2015).
2. Nashimoto, A., Akazawa, K., Isobe, Y., Miyashiro, I., Katai, H., Kodera, Y. et al. Gastric cancer treated in 2002 in Japan: 2009 annual report of the JGCA nationwide registry. Gastric Cancer 16, 1–27 (2013).
原文链接:https://www.nature.com/articles/s41416-020-01063-5


严谨对待每一次生物质谱
微信号|trans-omics
官网|www.mhelix.cn
咨询 | 021-2027 3656

